
YOLO11과 YOLO12의 주요 차이점을 요약한 비교
YOLO11 vs YOLO12
| 모델 구조 | 개선된 백본 및 넥 아키텍처를 사용하여 적은 파라미터로 빠른 추론을 실현함 | 전통적인 CNN 방식에서 벗어나 영역 주의 메커니즘과 R-ELAN, 플래시어텐션을 도입하여 정밀도를 높임 |
| 특징 추출 | 효율적 파라미터 사용과 최적화된 특징 추출로 실시간 성능을 극대화함 | R-ELAN 및 영역 주의 메커니즘을 통해 중요한 부분에 집중, 불필요한 연산을 줄여 정밀한 객체 감지 성능을 제공함 |
| 주의 메커니즘 | 기존의 방식 사용 | 이미지의 중요한 영역에 집중하는 영역 기반 주의 메커니즘 도입, 선택적으로 플래시어텐션 활용 가능 |
| 속도 | 최적화된 트레이닝 파이프라인과 구조로 매우 빠른 추론 속도를 보임 | 정밀도 향상을 위해 약간의 속도 저하(예: YOLO12m은 YOLO11m 대비 약 3% 느림)가 있으나, 실시간 처리 성능은 유지함 |
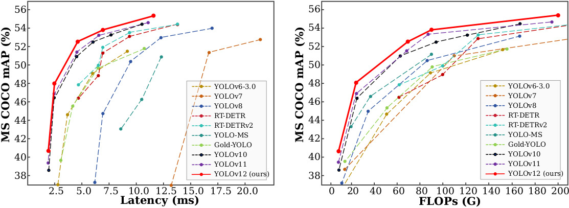
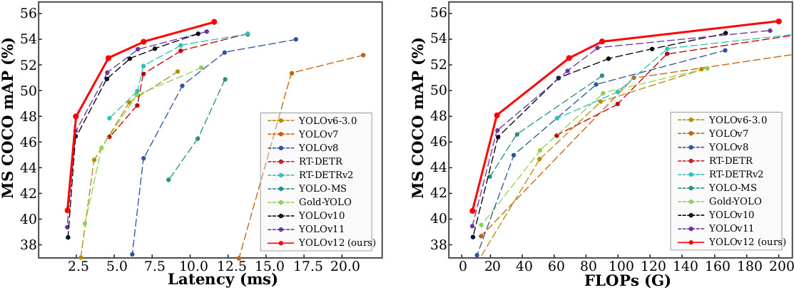
| 정확도 | 효율적 구조로 우수한 실시간 성능 제공 | COCO 데이터셋 기준 mAP에서 YOLOv10/YOLO11 대비 개선(예: YOLO12n은 +2.1% mAP, YOLO12m은 +1.0% mAP 향상)을 달성함 |
| 지원 작업 | 물체 감지, 인스턴스 분할, 이미지 분류, 포즈 추정, OBB 등 다양한 작업 지원 | YOLO11과 동일한 작업 지원 외, 주의 메커니즘으로 추가 최적화를 통해 더욱 정밀한 감지 성능 제공 |
| 배포 및 활용 | 엣지 디바이스, 클라우드 등 다양한 환경에서 배포 가능 | 유연한 배포가 가능하며, 플래시어텐션을 활용할 경우 메모리 효율 및 처리 속도 최적화에 도움을 줌 |
결론:
실시간 응답이 중요한 애플리케이션이라면 YOLO11이 유리할 수 있고, 정밀도가 더 중요한 애플리케이션에서는 YOLO12를 선택하는 것이 좋습니다.
참고 자료:
YOLO11 🚀 신규
다양한 컴퓨터 비전 작업에 탁월한 정확성과 효율성을 제공하는 최첨단 물체 인식의 최신 기술인 YOLO11 을 살펴보세요.
docs.ultralytics.com
https://docs.ultralytics.com/ko/models/yolo12/
YOLO12
타의 추종을 불허하는 정확성과 효율성으로 최첨단 물체 감지를 위한 획기적인 주의 집중 아키텍처를 갖춘 YOLO12를 만나보세요.
docs.ultralytics.com
YOLO11의 특징
- 향상된 특징 추출 및 효율성:
YOLO11은 개선된 백본과 넥 아키텍처를 도입하여 적은 수의 파라미터로 높은 정확도를 달성합니다. 이로 인해 모델은 빠른 추론 속도를 유지하면서도 다양한 환경(엣지 디바이스, 클라우드 등)에 쉽게 배포할 수 있습니다. - docs.ultralytics.com
- 다양한 작업 지원:
물체 감지, 인스턴스 분할, 이미지 분류, 포즈 추정, OBB 등 다양한 컴퓨터 비전 작업에 최적화되어 있습니다. - 실시간 성능 최적화:
최적화된 트레이닝 파이프라인과 효율적인 네트워크 구조 덕분에 빠른 실시간 처리 속도를 제공합니다.
YOLO12의 특징
- 주의 집중(Attention) 메커니즘 도입:
YOLO12는 기존 CNN 기반 접근 방식에서 벗어나, 영역 기반 주의 메커니즘을 도입하여 이미지의 중요한 부분에 집중합니다. 이로 인해 불필요한 연산을 줄이고, 더 정밀한 객체 감지를 실현합니다. - docs.ultralytics.com
- 잔여 효율적 레이어 집계 네트워크(R-ELAN) 및 플래시어텐션:
R-ELAN 모듈을 통해 피처 집계 방식을 개선하고, 선택적으로 플래시어텐션을 컴파일하여 메모리 효율성을 높일 수 있습니다. - docs.ultralytics.com
- 정확도와 속도의 균형:
성능 벤치마크에서는 YOLO12n의 경우, COCO val2017 데이터셋에서 YOLOv10n 대비 +2.1% mAP 향상, YOLO11n보다도 개선된 수치를 보입니다. 다만, 높은 정밀도를 달성하기 위해 일부 모델은 YOLO11보다 약간 느린 추론 속도를 보입니다(예: YOLO12m는 YOLO11m 대비 약 3% 느림). - docs.ultralytics.com
어떤 모델을 선택해야 할까?
- 실시간 처리와 속도가 중요한 경우:
만약 애플리케이션이 실시간 처리가 핵심이라면, YOLO11의 빠른 추론 속도와 최적화된 효율성이 유리할 수 있습니다.
정밀도가 더 중요한 경우:
높은 정확도와 정밀한 객체 감지가 필요하다면, 이미지 내 중요 영역에 집중하는 YOLO12가 더 나은 선택입니다. 다만, 약간의 속도 저하를 감수해야 할 수 있습니다.
R-ELAN (Residual Efficient Layer Aggregation Network) 모델의 설명을 높이기 위해 설계된 개선된 기능 집계 모듈
기존 개념 : 기존의 ELan(효과적인 레이어 집계 네트웍) 고조를 기잔으로 하면서 , 잔여 연결을 추가하여 피처의 전달과 집계를 보다 효율적으로 수행, 잔여 연결은 딥러닝 네트워크에서 학습이 어려워지는 문제를 완화하고 더 깊은 네트워크에서도 안정적으로 학습을 가능하게 합니다.
주요특징:
- 스케일링이 있는 블록 수전의 잔여 연결:
- 블록 단위로 잔여 연결을 도입하여 네트워크가 다양한 크기의 피처 맵을 효과적으로 결합할수 있도록 합니다.
- 병목 현상 완화: 기존 구조에서 발생할 수 있는 병목 현상을 재설계하여 피처 집계가 원활하게 이루어 지도록 개선합니다.
- 효율적인 피처 집계: 여러계층의 피처를 통합하면서 중요한 정보는 강조하고 불필요한 연산은 줄여 전체 모델의 효율성과 정확도를 를 향상 시킵니다.
모델의 역할:
R-ELAN은 특히 YOLO12와 같이 어텐션 메커니즘을 사용하는 모델에서 핵심적인 역할을 합니다. 네트웍의 다양한 계층에서 추출된 피처를 효과적으로 통합하여 최종적으로 개체 감지의 정밀도를 높이고 학습을 안정화하는데 기여합니다.
'AI > YOLO' 카테고리의 다른 글
| CycleGAN을 이용한 데이터 증강 (0) | 2024.07.08 |
|---|---|
| YOLOv8 (0) | 2024.05.21 |
| YOLOv8-오탐률(False Positive Rate) 낮추기 (0) | 2024.05.21 |
댓글